I can write a script to do it.
Deskthority club has launched
- Ducky Nordic
- Kayvee
- Main keyboard: Ducky YotS & Mini
- Main mouse: Logitech G9x
- Favorite switch: MX red/white, topre 30, BS
- DT Pro Member: -

Brilliant!
- webwit
- Wild Duck
- Location: The Netherlands
- Main keyboard: Model F62
- Favorite switch: IBM beam spring
- DT Pro Member: 0000
- Contact:
It starts like this. Then 9 more pages like that.7bit wrote:Yes, here!
I can write a script to do it.
- webwit
- Wild Duck
- Location: The Netherlands
- Main keyboard: Model F62
- Favorite switch: IBM beam spring
- DT Pro Member: 0000
- Contact:
The other pages. It's very interesting. They describe in great detail the mandatory rituals and sacrifices.
Spoiler:
- HaaTa
- Master Kiibohd Hunter
- Location: San Jose, California, USA
- Main keyboard: Depends the day
- Main mouse: CST L-TracX
- Favorite switch: Fujitsu Leaf Spring/Topre/BS/Super Alps
- DT Pro Member: 0006
- Contact:
Is there a reason the signature at the bottom looks sorta like a duck?
- guilleguillaume
- Location: Barcelona, Spain
- Main keyboard: Kmac Mini
- Main mouse: Razer Abyssus 2014
- Favorite switch: Topre
- DT Pro Member: -
Fantastic 
- Broadmonkey
- Fancy Rank
- Location: Denmark
- Main keyboard: Whitefox
- Main mouse: Zowie FK2
- Favorite switch: MX Black
- DT Pro Member: -
- Contact:
Congrats to us all!
This should be our new header image!
This should be our new header image!
webwit wrote:
- 7bit
- Location: Berlin, DE
- Main keyboard: Tipro / IBM 3270 emulator
- Main mouse: Logitech granite for SGI
- Favorite switch: MX Lock
- DT Pro Member: 0001
Now, we need a plain 7bit ASCII version to do the automatic translation.
On the other hand, it is not too difficult to understand and looks prety much the same as notary documents in other countries.
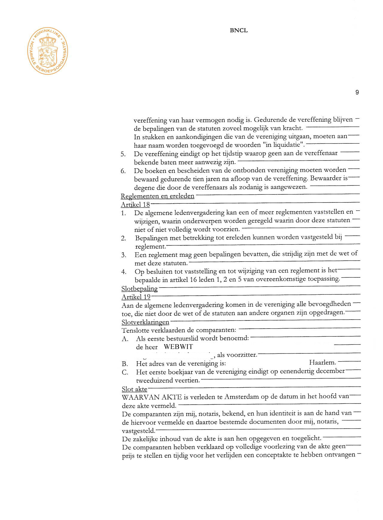
BTW: On page 9, the address is missing:
http://deskthority.net/

On the other hand, it is not too difficult to understand and looks prety much the same as notary documents in other countries.
BTW: On page 9, the address is missing:
http://deskthority.net/
- webwit
- Wild Duck
- Location: The Netherlands
- Main keyboard: Model F62
- Favorite switch: IBM beam spring
- DT Pro Member: 0000
- Contact:
Yes.
